核心筒結構超高層建筑物防雷模型分析
o引言
隨著城市化進程的加快,建筑物高層化趨勢日益明顯,中國已經逐漸成為全球高層建筑物增長速度最快的國家。合理的建筑結構能使高層建筑物結構構件及整體能有效承擔彈塑性發展、層間變形以及地震剪力等不同破壞模式??蚣?核心筒結構﹑框架+核心筒結構+伸臂榆架以及鋼框架支撐是180m至300m之間超高層建筑通常采用的結構體系,其中框架+核心筒結構應用最為廣泛,其豎向結構體系主要由外框柱﹑樓面系統及核心筒組成??蚣堋诵耐步Y構建筑物研究目前大多集中在抗震剪力分析,研究方式包含有限元分析、數值計算以及ETABS等軟件進行對比分析。目前雷擊高層建筑物防雷研究方向主要集中在高層建筑物接閃趨勢定性分析、空間電磁場分布以及防護技術。接閃趨勢分析主要從建筑物(群)及自身不同位置電場畸變程度推斷雷擊位置,總結出不同高層建筑物或建筑物不同接閃位置的接閃定性概率;內部空間電磁場分布主要采用路的方法、模型分析法以及利用仿真工具計算不同位置、高度及柱網參數對電流及磁場瞬態變化趨勢影響,進而判斷感應電場形成感應電動勢的大小;雷擊高層建筑物防護技術相關的研究著重在直擊雷防護技術,雷擊電磁場分布及屏蔽問題對電氣系統以及對人體影響等。
云地閃電形成的先導從云中電荷中心伸向地下所感應的電荷,這就引起從云到地的向下放電,或從接地(物)體向云體發展的向上先導。一旦閃電下行先導和大地感應電荷區的迎面先導連通就發生云地閃電。在云地閃電的過程中,放電電荷由雷暴云經過閃電通道流到豎直框架和水平框架以及結構體,再流入接地網,然后由接地網泄漏到無限遠的大地。這一過程使雷暴云﹑框架、接地網和無限遠的大地構成一個回路。目前針對建筑物的雷擊效應研究主要集中在高層,超高層以及智能等特征,而不同建筑物結構遭受雷擊時電流傳輸及電磁場分布特性受建筑物本體材料、結構和接地電阻等因素綜合影響,往往較難對其進行準確的雷擊效應定性及定量分析,目前國內外在針對建筑物結構尤其是針對框架—核心筒結構超高層建筑物雷擊效應研究成果較為少見。
該研究基于CST MICROSTRIPES工作室采用全波分析法建立金屬構架結構建筑物集總電路模型,仿真瞬態電流傳輸特性和附近及內部空間電磁變化特性,可實現動態顯示及定性﹑定量分析以上參量特征,同時利用探針和選取參考截面可研究空間不同位置電磁場變化特性,繼而針對外框架—內核心筒結構建筑物提出具體保護措施。
1模型建立
1.1典型框架—─核心筒建筑物模型
建筑物模型按實際某典型框架-核心筒結構建筑物設計圖紙構建,模型包含所有鋼框架結構柱以及平面層、混凝土柱等結構,模型平面形狀為帶折角的正方形平面,平面尺寸上下一致,建筑高度為202.4 m,結構高度為196.4 m,平面尺寸為45 m×45 m,結構高寬比約為4.4。核心筒平面尺寸約為23.6 m×23.1 m,核心筒高寬比約為8.5。該筑物模型為42層,樓頂部位四周設置女兒墻,中間凸出層為較為普遍設置的電梯機房位置,整體模型見圖1。
模型按照實際等比例建立,在誤差允許范圍內根據標準材料屬性設置建筑物材料特征:混凝土密度磁導率為1,土壤介電常數為13F/m,自測土壤電阻率為20.9Q·m,土壤底層邊界電位為0,模型周邊背景為空氣,框架鋼結構和樓層鋼板電導率為7.69x10 S/m,其他材料特征參數均按照標準值設置。
1.2雷電流模型
根據實際構建模型當地地閃監測資料,該建筑物2km半徑區域范圍內雷電流情況:雷電流最大幅值為132kA,不同區間概率見圖2;雷電流幅值的平均值為:22.3kA;雷電流幅值主要分布在0~40kA之間,占全部地閃85.11%左右,雷電流源依據地閃探測數據選取探測到最高典型幅值132kA。

模型雷電流激勵源波形根據地閃放電過程應與地閃首次回擊波形一致,目前描述該過程主要采用雙指數函數以及Heilder模型表達,其中雙指數函數常用美軍標s函數數學表達式為
l=A.×(e*一eR)
(1)
式(1)中 :Am.為幅值電流參量;A和B分別為衰減參數。仿真采用電流分量為A波波形描述幅值為-132 kA條件下雷電流特征,選取Amp=144 414.6,A=11354,B=647265129]。
仿真和動態圖形顯示時間步長均約1×106us,總仿真時長為200 u.s,最小網格尺寸為1056.35 mm,符合網格精細化要求,仿真頻域設置范圍為0~30 MHzo考慮到計算收斂性和計算內存的要求,研究在不影響仿真結論條件下對模型局部形狀和尺寸作一定修改。
1.3全波分析法數學分析
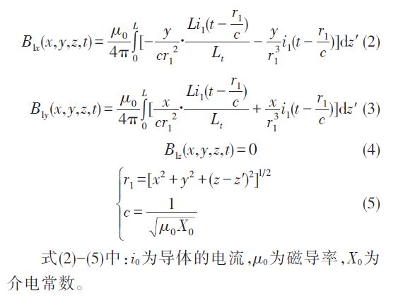
CST傳輸線矩陣(TLM)求解器為全波電磁算法中的時域算法,全波算法又稱低頻或精確算法,簡單說就是求解麥克斯韋方程完整形式的算法,對于瞬態電磁效應的仿真,全波時域算法具有自然﹑高效、準確的特征。TLM方法是一種時域的分析方法,從電磁場問題求解的角度來講,TLM方法仍然是求解滿足于一定邊界條件的Maxwell方程組,不過TLM方法是將Maxwell方程及其邊界條件按空間和時間進行離散,用一對互相聯結(并聯或串聯形成網格)的傳輸線來模擬所要求解的導波結構,通過研究脈沖在網格中的傳播獲得導波結構的時域響應,并對時域響應進行Fourier變換,就可以在很寬的頻率范圍內獲得導波結構的頻率特性,由于傳輸線上的電壓和電流可以等效為電場(或磁場)和磁場(或電場),同時還可以獲得傳輸線結構內的場分布。根據麥克斯韋方程組,結合具體模型,可以得到雷擊建筑物時周圍空間任一點P(x , y ,z)由雷擊電流引起的磁感應強度各分量為:

廣東中為智能防雷技術有限公司
